Part 2



I've now been working to separate the Carbon IV emission from the background emission during
the flare. The C IV emission comes in two parts - a pair of lines at 1549Å, and added continuum
throughout the spectrum. The lines only show up in the 1600Å band, but the continuum shows up in
both bands. By subtracting the average pre-flare emission, I find the added emission - here referred
to as Δ1700 and Δ1600 - and plot the two bands against eachother:

This addded line emission is assumed to be proportional to the wavelength, starting from 1400Å.
Thus, the following equations can be used to find the line emission:

where α is the slope of the previous graph, and resp1600 and resp1700 are the
the 1600Å and 1700Å response functions, respectively, and I is the intensity of the C IV line.
With these equations, I can separate the continuum from the line:

The temperature can be calculated from this:

The spectrum can also be calculated from this:

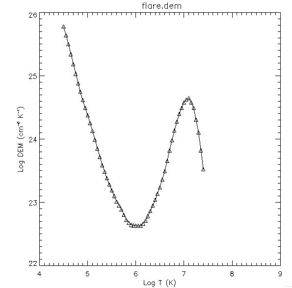
CHIANTI provides some guidlines for the spectrum. This is the flare DEM:

And this is the calculated lines in the 1400-1800Å range


Also, I can calculate the evolution of the spectrum over time. This is the graph of the rise phase:

Decay phase (20 data point interval):

Now, a less bright pixel (#50). Rise phase interval 1 data point, decay phase 10 data poins

The C IV line emission over time (totaled over all pixels):