I've been working on writing a blackbody radiation simulator in order to turn the UV images
into a map of temperature. Here's what the spectrum looks like for a blackbody at 4500K:

In order to find the expected brightness of a pixel at a particular temperature, we must consider the
intrument's response function, and integrate - the images give no spectroscopic information.
The data looks like this (from the 1600Å band):
During reconnection, small areas on the surface of the sun will be heated.
Here's the plot for the brightness of one such pixel. The solid line is from the 1600Å band,
The dashed line is the 1700Å band.
The 1600Å band has the following response function:
The response function for the 1700Å band:
Using the blackbody spectrum above and the properties of the instrument, we can find the expected
readings for a given temperature. This graph is for the 1700Å band. I used this band because the sun
is a good blackbody radiator in that band; whereas the 1600Å band contains a line from carbon iv.
From this, I can estimate the temperature of each pixel. This is the graph for the temperature of
that same pixel:
I also examined some of the inactive pixels - those that do not flare. The regions I chose are the following boxed regions (order: (20,20),(300,20),(100,370),(400,200),(500,70)):
Also, the temperature for pixels that do not flare can be estimated. This is the graph of the temperature
of 100 inactive pixels in the lower left of the image:
This shows that the quiet pixels are at around 4500-4600K, which matches our expectations. This shows that the program is working properly. Now I can find the line emission in the 1600Å band. Using the 1700Å, I can find the temperature, then find the expected blackbody emission in the 1600Å band. The rest is attributed to line emission of Carbon iv.
When I examine the emission from one of these quiet pixels (in this case, pixel 500,70 at t=0), this the is resulting graph. The solid line is the 1600Å data, the dotted line is the expected continuum emission (based on the temperature from the 1700Å data), and the the diamond line is the difference - the line emission.
Over the 100 pixels in that image, this graph results:
Clearly, something is wrong. There should not be negative line emission, and this emission should not decrease with increased continuous emission (which indicates increased temperature). The most likely reason for this is lines within the 1700Å band that I had assumed to be negligible. So, I will correct for these lines.
I now turn to the region of the image that are brighter than the background, but do not participate in the flares - plages The regions I analyzed are indicated in the following image:
The temperature of each of these pixels can be found using the same method as above:
Turning back to the quiet sun regions:
Now, I will not assume that the 1700Å band contains no lines - as the evidence above shows this is not the case.
Using the CHIANTI database, I can find the expected line emission in the band. I assume isothermal conditions,
which is supported by the data. Then, the main parameter is the pressure - higher pressure would result in more
emission (higher ion density). With a pressure of 2e15 erg/cm^3, the program gives a line emission of 0.707 DN/s
in the 1600Å band, and in the 1700Å band it gave 2.5 DN/s.
Using this data, I can subtract the line emission out of the 1700Å band, find the expected signal in the 1600Å, and
then find the portion of the signal in the 1600Å that should be line emission. Here are the results - the first
graph is with respect to time, the second with pixel number.
The 5 100-pixel sections are evident in the second graph - the middle bunch is the most well-behaved. Overall, the
average value is 0.909, median 1.146, which is in the range of what I expected.
For the active sun regions, the line vs continuum emission graph:
mean:-15.2281, median:-0.4769
I calculated the expected line emission for various pressures between 1e14 and 1e15:
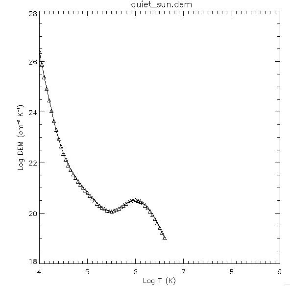
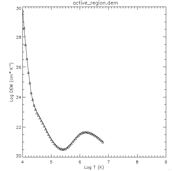
These are the DEMs for the quiet and active sun regions:
In the active region, the DEM at log(T)=4 (or 10^4 K) is several orders of magnitude larger than the quiet sun.
This causes the expected line emission to jump to over 7000 DN/s - but the total recorded emission is only 2-3 thousand
The unobserved spike in line emission is assumed to be an optically thick line, so is absorbed by the higher levels of
the solar atmosphere.
Using the results from the CHIANTI database over multiple pressures (quiet sun: 1e13 to 1e14; active: 1e15 to 1e16)
This gives bounds on the line emission, and thus the temperature. The line emission values are bounded as follows
(this does not include lines at T=4):
| 1700 | Mininum | Maximum |
| Quiet sun | .20204072 | .21472057 |
| Active Region | 0.47835075 | 1.1725513 |
| 1600 | Mininum | Maximum |
| Quiet sun | .61807783 | .62253337 |
| Active Region | 0.64100896 | 0.68817830 |
For a flare, this is predicted to be 51.448 (1700Å) and 37.117 (1600Å)
Now looking at the data from the 1700Å and 1600Å data - yellow is
the quiet sun regions, red is active sun, and the white line is the expected
ratio of a blackbody radiator.